|
||
全部產品分類
|
||
對比
加入企業產品庫
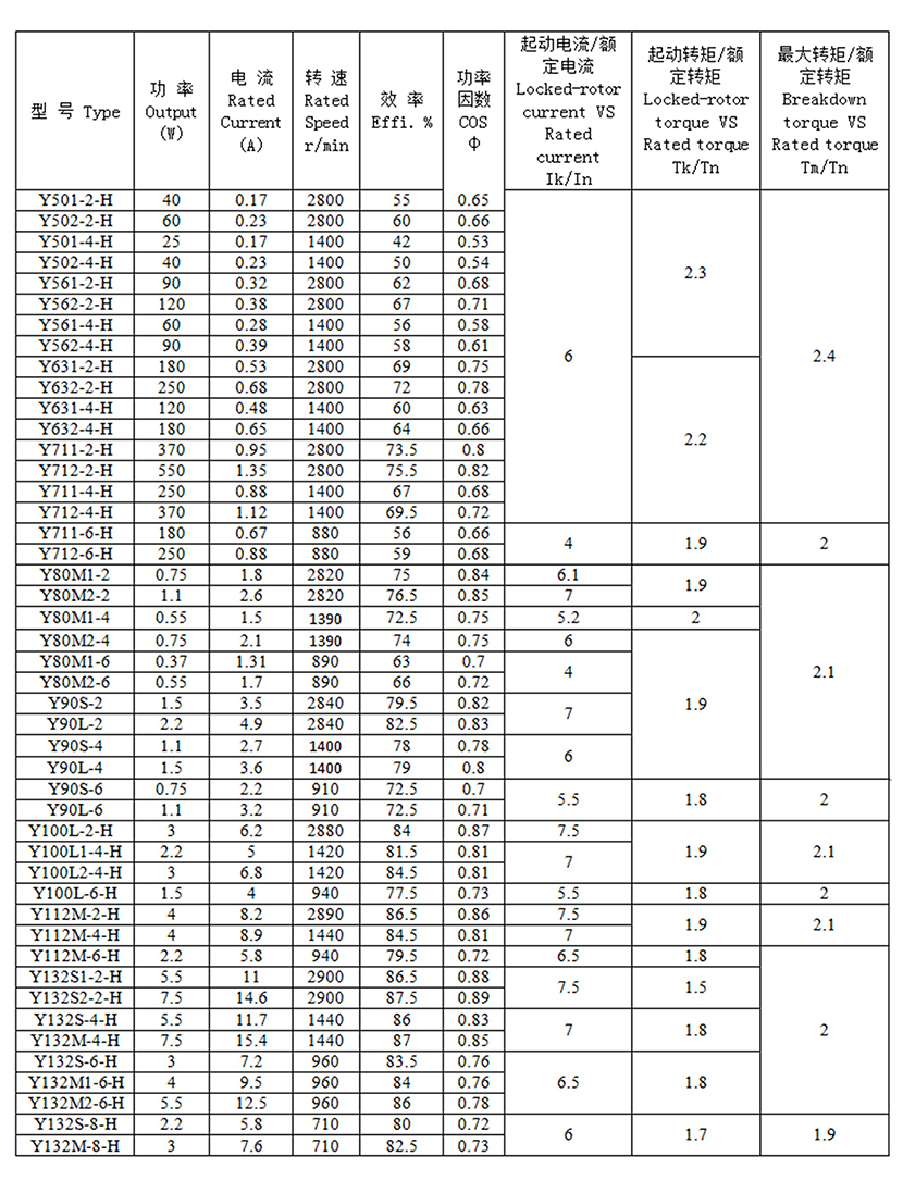
| Y-H系列船用三相異步電動機(鋁質機殼:機座號50~132) | |||
| 功率: | 0.75kW | 電壓: | 440V |
| 頻率: | 60Hz | 電機極數: | 4 |
| 效率: | 76% | 功率因數: | 0.72 |
| 最大轉矩/額定轉矩: | 2.1 | 起動轉矩/額定轉矩: | 1.9 |
| 起動電流/額定電流: | 6 | 電流: | 1.8A |
| 額定轉速: | 1710r/min | ||

| -供應商聯系方式- | |||||
|
|
公司名稱: | 青島海昌船舶設備有限公司 |
|
聯系人姓名: | 李剛 |
| 公司地址: | 即墨市經濟開發區煙青一級路東、南莊村南 | 聯系人電話: | 0086-532-86599818 | ||
| 聯系人郵箱: | hbdj038@hengbaomotor.com | ||||